2019-04-15 10:21:37
9192
什么是全雙工對講機?
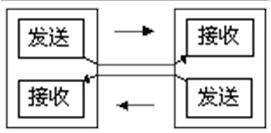
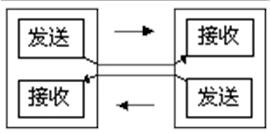
全雙工(Full Duplex)是指在發送數據的同時也能夠接收數據,兩者同步進行,這好像我們平時打電話一樣,說話的同時也能夠聽到對方的聲音。目前的藍牙對講機一般都支持全雙工。

半雙工(Half Duplex),所謂半雙工就是指一個時間段內只有一個動作發生。

單工通信是指通信線路上的數據按單一方向傳送。

通過平常在生活中的觀察和實踐我們知道兩部普通對講機要正常通信,只有一種選擇:
A對講機的發信載頻和B對講機的收信載頻一致,而A對講機的收信載頻和B對講機的發信載頻一致。
通俗的說法就是對講機必須要分公母了,而且必須成對售賣。由此可見,在對講機的設計上,要實現全雙工就比半雙工的更復雜,更麻煩,成本更高。

北峰TD950-PDT集群對講機,采用全雙工通信模式,讓對講不再受傳統通信模式限制。實時同步反饋的語音在執行任務中關鍵時刻及時溝通,使指揮調度更加高效靈活,更有效提高團隊工作效率。